728x90
반응형

Deep_Learning 75

Anaconda PyTorch GPU 설치

안녕하세요, MoonLight입니다.​이번 Post에서는 PyTorch GPU Version을 설치해도록 하겠습니다.​Tensorflow보다 설치가 쉬울지 어떨지 한 번 해 보도록 하죠​우선, Anaconda를 이용해서 가상환경을 만들어서 설치할 예정이니, 이미 Anaconda가 설치되어 있다고 가정하겠습니다.​Anaconda는 아래 Link에서 받아서 설치하시면 됩니다. https://www.anaconda.com/download Download Anaconda Distribution | AnacondaDownload Anaconda's open-source Distribution today. Discover the easiest way to perform Python/R data science and..

Deep_Learning 2024.09.21

Learning to (Learn at Test Time): RNNs with Expressive Hidden States

0. 소개​안녕하세요. 현재 AI 분야를 평정하고 있는 생성형 AI(Generative AI)의 기본은 Self-Attention을 기반으로 하는 Transformer 구조입니다.​Transformer는 지금까지 발표된 어떤 구조보다도 우수한 성능을 가지지만, 유일한 단점이라면 Model의 표현력과 비례해서 Hidden State도 커져야 한다는 것입니다.​최근 발표된 Llama 3.1은 Model을 구성하는 Parameter의 개수가 4000억 개가 넘는다고 하죠.​이와 같은 Transformer의 구조는 한계를 극복하고자 발표된 Model이 TTT(Test-Time Training)이라는 구조로써, 핵심은 Hidden State 값들을 개별적으로 모두 저장하는 것이 아니라,​Hidden State 값..

Deep_Learning 2024.08.23

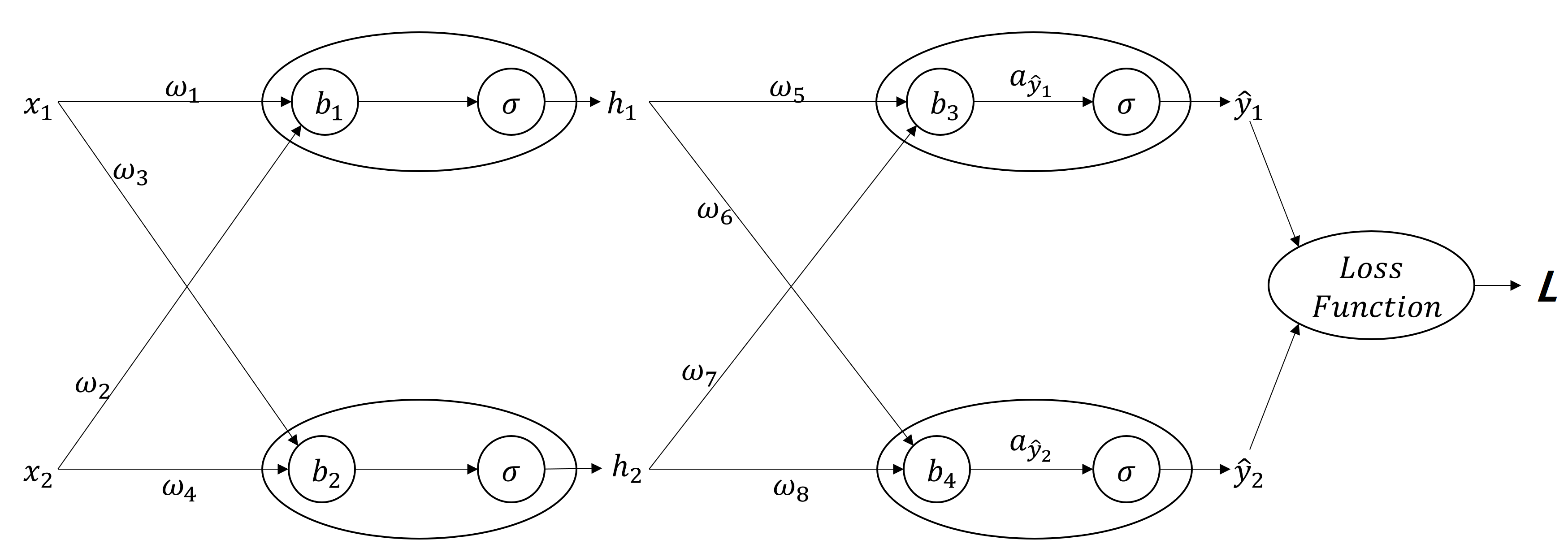
Backpropagation

0. Introduction​Backpropagation은 Deep Learning 학습의 핵심 메커니즘입니다.Deep Learning의 학습은 학습하려는 Train Data를 Network에 넣어서 값을 출력하는 순서를 거치게 됩니다.이 과정을 Feedforward라고 합니다. 물론 이 과정에서 출력되는 값은 Network이 학습이 진행되기 전이기 때문에 실제 Target 값과 많이 차이가 나게 됩니다.Deep Learning은 Target 값과 실제 정답과의 차이를 이용하여 Network을 구성하는 Parameter(Weight , Bias)를 적절하게 Update 합니다.이 과정을 Backpropagation이라고 하며, 이번 Post에서는 Backpropagation 과정이 실제로 어떻게 동작하는..

Deep_Learning 2024.07.14

Transpose Convolution

안녕하세요, MoonLight입니다.​이번 Post에서는 Transpose Convolution에 대해서 알아보도록 하겠습니다.​​0. 소개​Transpose Convolution은 우리가 흔히 알고 있는 CNN Model에서 주로 사용되는 Convolution과 반대되는 연산을 수행합니다.​Convolution 연산은 특정 크기의 Kernel이라는 Filter를 이용해서 Image를 Scan하면서 Feature를 뽑아내는 동작을 하면서​점점 작아지는 Feature Map을 생성하는 연산입니다.​Convolution 연산에 대한 아래 글을 한 번 읽어보세요~https://moonlight314.tistory.com/entry/CNN-Convolutional-Neural-Network CNN ( Convo..

Deep_Learning 2024.07.14

U-Net : Convolutional Networks for Biomedical Image Segmentation

이번 Post에서는 U-Net에 관해서 알아보도록 하겠습니다.​0. Introduction​U-Net은 2015년 Olaf Ronneberger, Philipp Fischer, Thomas Brox의 “U-Net_Convolutional Networks for Biomedical Image Segmentation”이라는 Paper에 처음 소개되었으며, 효율적인 구조와 성능은 특히 적은 양의 Train Data로도 우수한 분할 결과를 얻을 수 있게 하며, Paper 제목에서도 유추할 수 있듯이, Data가 부족하거나 비싼 의료 분야에서 특히 두각을 나타냈습니다.​​1. 사용 예U-Net의 강점은 배경과 객체를 분리하는데 특화된 모델이고 또한 특히 적은 양의 Train Data로도 우수한 분할 결과를 얻을 ..

Deep_Learning 2024.06.18

1x1 Convolution

안녕하세요, MoonLight입니다.​이번 Post에서는 1x1 Convolution 연산에 대해서 알아보도록 하겠습니다.​우선 일반적인 Convolution 연산에 대해서 알아본 후 이 글을 읽어주셨으면 좋겠습니다.​Convolution에 대한 글은 아래 Link를 참고해 주시기 바랍니다. https://moonlight314.tistory.com/entry/CNN-Convolutional-Neural-Network CNN ( Convolutional Neural Network )CNN(Convolutional Neural Network)은 주로 Image에 사용되는 Deep Learning Architecture입니다. Image Classification, Object Detection / Segm..

Deep_Learning 2024.06.13

Transformer #5 - Decoder Detail

0. Introduction​안녕하세요, 이번 Post에서는 Transformer의 Decoder에 대해서 자세히 알아보도록 하겠습니다.​Transformer Decoder의 각 부분을 구체적으로 하나씩 알아보도록 하겠습니다.​​​​Encoder에서 살펴본 구조도 몇몇 보이지만, Decoder는 이전의 Decoder 출력을 기반으로 현재 출력을 생성해 내는 자기 회귀적 특징으로 인해 조금씩 다른 부분이 있습니다.​Decoder에서 이런 자기 회귀적인 특징이 가장 많이 반영되어 있는 부분이 Masked Multi-Head Attention 부분이니 먼저 이 부분을 자세히 알아보도록 하겠습니다.​​​​1. Masked Multi-Head Attention​​ ​​​1.0. Shifted Right​Decod..

Deep_Learning 2024.05.23

Transformer #4 - Encoder Detail

안녕하세요, 이번 Post에서는 Transformer의 Encoder에 대해서 자세히 알아보도록 하겠습니다.​Transformer Encoder의 각 부분을 구체적으로 하나씩 알아보도록 하겠습니다.​​0. Tokenizer & Input Embedding Layer​​​​Embedding Layer에 문장 그대로 입력할 수 없기 때문에 문장을 Model이 사용할 수 있는 Vector 형태로 변환해야 합니다.​Tokenizer를 이용해 문장을 Token 단위로 나누고, 나눈 Token을 Embedding Layer에 입력하여 Model이 이해할 수 있는 Vector 형태로 만듭니다.​Transformer는 WordPiece Tokenizer를 사용하여 Token을 나누며, Transformer의 Embed..

Deep_Learning 2024.05.21

코엑스 2024 AI EXPO KOREA

안녕하세요, MoonLight입니다.​어제(5월 1일)부터 COEX에서 2024 AI EXPO KOREA가 진행되고 있습니다.​작년에 이어서 올해도 여전히 생성형 AI / LLM / ChatGPT를 이용한 다양한 서비스를 제공하는 업체들이 많이 보였습니다.​아직도 여전히 대세는 생성형 AI 특히, Text & Image를 융합한 서비스가 많이 등장했고,​가끔씩 영상 및 음성을 이용한 서비스를 개발해서 소개하는 업체들도 많이 눈에 띄었습니다.​행사는 내일까지이니 시간되시면 한 번 가보시는 것을 추천드립니다.        ​ 그 뜨거운 현장, 구경 한 번 해 보세요~ ​​​​​​​​​​​​​​​​​​​​​​​​​​​​​​ ​​​​​​​​​​​​​​​​​​​​​​​​​​​​​​​​​​​​​​​​​​ ​​​​​..

Deep_Learning 2024.05.02

Transformer #2 - Self Attention

0. Introduction ​ ​ 다른 글에서 Attention Mechanism에 대해서 알아보았습니다. ​ Attention Mechanism에 대해서 자세히 알아보시려면 아래 글을 읽어보시기를 추천드립니다. https://moonlight314.tistory.com/entry/Transformer-1-Attention-Mechanism Transformer #1 - Attention Mechanism 0. Background ​ Attention Mechanism이 나오기 전에는 Seq2Seq Model이 주로 사용되었습니다. ​ Seq2Seq Model은 당시에는 훌륭한 Idea였지만, 치명적인 문제점을 가지고 있었습니다. ​ 그 어떤 입력값이 들어 moonlight314.tistory.com ..

Deep_Learning 2024.04.22
728x90
반응형